2022年一级建造师《建设工程项目管理》补考考前模拟卷(二)
一、单项选择题(共 70 题,每题 1 分,每题的备选项中,只有 1 个最符合题意)
1.()依据项目结构图,对项目结构的每一层的每一个组成部分进行编码。
A.项目结构编码
B.合同管理编码
C.信息管理编码
D.投资控制编码
2.关于固定总价合同适用性的说法,错误的是()。
A.工程量小、工期短,施工过程中环境因素变化小,工程条件稳定并合理
B.工程结构和技术简单,风险小
C.工程设计详细,图纸完整、清楚,工程任务和范围明确
D.合同条件中有对承包商单方面保护的条款
3.下列目标控制的措施中,属于管理措施的是( )。
A.对进度控制的任务分工进行调整
B.对进度控制的方法进行调整
C.落实加快工程施工进度所需的资金
D.改变施工机械加快工程进度
4.在进行建设工程项目总进度目标控制前,首先应()。
A.分析和论证进度目标实现的可能性
B.制定项目进度控制的措施
C.编制施工总进度规划
D.对项目实施进行总体部署
5.招标人通过媒体发布招标公告,或向符合条件的投标人发出招标文件,为()。
A.要约
B.承诺
C.要约邀请
D.合同生效
6.关于咨询服务费用计算的说法,正确的是()。
A.咨询服务费用由酬金和可报销费用两部分组成
B.人月费单价法一般适用于管理或法律咨询、专家论证等费用的计算
C.人月费单价法是咨询服务中最常用、最基本的以服务时间为基础的计费方法
D.工程建设费用百分比法一般适用于工程规模大、工期长的建设工程项目
7.项目决策的标志是()。
A.确定项目定义
B.项目立项
C.确定建设任务
D.项目组织
8.关于招标信息发布的说法,错误的是()。
A.招标人对已发出的招标文件进行必要的澄清或者修改,应当在招标文件要求提交投标文件截止日期至少 15 日前发出
B.自招标文件或者资格预审文件出售之日起至停止出售之日止,最短不得少于 5 日
C.招标人或其委托的招标代理机构应至少在 2 家指定的媒介发布招标公告
D.招标人或其委托的招标代理机构在 2 个以上媒介发布的同一招标项目的招标公告的内容应当相同
9.关于建造师和项目经理关系的说法,正确的是( )。
A.取得建造师注册证书的人员即可成为施工项目经理
B.建造师是管理岗位,项目经理是技术岗位
C.大中型工程项目的项目经理必须由取得建造师注册证书的人员担任
D.取得建造师注册证书的人员只能担任施工项目经理
10.建设工程项目质量管理的 PDCA 循环中,质量计划阶段的主要任务是()。
A.展开工程项目的施工作业技术活动
B.明确质量目标并制定实现目标的行动方案
C.对计划实施过程进行科学管理
D.对质量问题进行原因分析,采取措施予以纠正
11.某工程公司某月计划开挖土方 4000m3,预算单价 72 元/m3,月末检查时实际完成工程量为 4500m3,实际单价 68 元/m3,则该工程的费用偏差(CV)为()元。
A.18000
B.16000
C.36000
D.34000
12.下列目标控制的措施中属于管理措施的是()。
A.调整项目管理班子人员
B.对进度控制的方法进行调整
C.落实加快工程施工进度所需的资金
D.改变施工机械加快工程进度
13.下列施工管理手段中,属于控制人工费支出的是()。
A.节约使用劳动保护
B.提高劳动生产率
C.改善劳动作业环境
D.改变施工作业流程
14.业主确定的工程项目设计变更工作流程,属于工作流程组织中的()。
A.管理工作流程
B.物质流程
C.信息处理工作流程
D.设计工作流程
15.按单位时间编制的成本计划,所得的 S 形曲线必然包络在全部工作都按最早开始时间和全部工作都按( )开始的曲线所组成的“香蕉图”内。
A.最早必须开始时间
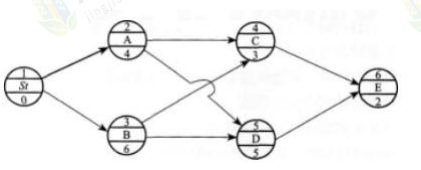
B.最早必须结束时间
C.最迟必须开始时间
D.最迟必须结束时间
16.反映一个组织系统中各工作部门或各管理人员之间的指令关系的是()。
A.组织结构模式
B.组织分工
C.管理职能分工
D.工作流程
17.下列对建设工程施工现场的要求中,属于文明施工要求的是()。
A.施工场地规划合理
B.污染物排放不得超过规定的排放标准
C.建立环境卫生管理和检查制度
D.生活区应设密闭式垃圾容器
18.建设工程担保中,担保金额在担保有效期内逐步减少的担保是()担保。
A.投标
B.支付
C.预付款
D.履约
19.施工企业在工程投标阶段编制的估算成本计划是一种()成本计划。
A.指导性
B.实施性
C.作业性
D.竞争性
20.业主方委托一个施工单位或由多个施工单位组成的施工联合体或施工合作体作为施工总承包单位,施工总承包单位视需要再委托其他施工单位作为分包单位配合施工,这种施工任务委托模式是()。
A.施工总承包
B.施工总承包管理
C.平行承发包
D.建设工程项目总承包
21.()是指在不影响整个任务按期完成的前提下,工作 i-j 必须完成的最迟时刻。
A.最早完成时间
B.最早开始时间
C.最迟开始时间
D.最迟完成时间
22.建设项目决策阶段经济策划的主要任务不包括()。
A.项目建设成本分析
B.生产运营期经营管理总体方案
C.项目效益分析
D.编制资金需求量计划
23.FIDIC 新黄皮书中合同计价方式属于()。
A.总价合同,合同价格不予调整
B.总价合同,如果发生法规规定的变化或物价波动,合同价格可以调整
C.单价合同,合同价格不予调整
D.单价合同,如果发生法规规定的变化或物价波动,合同价格可以调整
24.在双代号时标网络计划中,关键线路是指( )。
A.各项工作持续时间之和最小的线路
B.自始至终不出现波形线的线路
C.自始至终不出现虚工作的线路
D.节点编号依次连续的线路
25.从合同的计价方式看,FIDIC1999 年版《施工合同条件》(新红皮书)是()合同。
A.单价
B.固定总价
C.可调总价
D.成本加酬金
26.已知某工程网络计划中某工作自由时差为 3 天,总时差为 5 天。该工作实际进度拖后影响总工期 1 天。那么,该工作实际进度拖后( )天。
A.3
B.4
C.5
D.6
27.对应采用单价合同招标的工程,如投标书中有明显的数字计算错误,业主有权先做修改再评标。当总价和单价的计算结果不一致时,正确的做法是( )。
A.按市场价调整单价
B.分别调整单价和总价
C.以总价为准调整单价
D.以单价为准调整总价
28.根据《中华人民共和国劳动法》,施工企业应按规定向劳动者支付工资,但是当企业因暂时生产经营困难无法按规定支付工资时可以延期支付,但最长不得超过( )日。
A.60
B.30
C.90
D.123
29.建设工程项目总进度目标论证的工作步骤包括:①调查研究和收集资料;②进度计划系统的结构分析;③项目的工作编码;④项目结构分析。正确的顺序为()。
A.③-①-②-④
B.①-②-④-③
C.①-④-②-③
D.④-①-②-③
30.项目的实施阶段指的是()。
A.自项目开始至项目完成
B.自决策到动用前准备
C.自设计到竣工验收
D.自招标到竣工验收
31.政府质量监督机构的监督人员应当占监督机构总人数的()以上。
A.50%
B.65%
C.75%
D.80%
32.施工合同跟踪有两个方面的含义。一是承包单位的合同管理职能部门对合同执行者的履行情况进行的跟踪、监督和检查,二是( )。
A.监理单位对合同计划的执行情况进行的跟踪、检查与对比
B.合同执行者本身对合同计划的执行情况进行的跟踪、检查与对比
C.业主对合同计划的执行情况进行的跟踪、检查与对比
D.政府部门对合同计划的执行情况进行的跟踪、检查与对比
33.根据安全生产管理预警体系的要素构成,属于外部环境预警系统的是()。
A.质量管理预警
B.技术变化的预警
C.设备管理预警
D.人的行为活动管理预警
34.工作人员必须在工作前,对所用的机械设备和工具进行仔细的检查,发现问题立即上报。这种检查行为被称为()。
A.全面安全检查
B.专业人员安全检查
C.要害部门重点安全检查
D.经常性安全检查
35.下列不属于成本计划的编制依据的是()。
A.合同文件
B.设计概算
C.项目管理实施规划
D.相关定额
36.我国建设工程常用的担保方式中,担保金额最大的是()。
A.投标担保
B.保修担保
C.履约担保
D.付款担保
37.反映业主方和项目各参与方之间,以及项目各参与方之间的合同关系的是()。
A.项目结构图
B.组织分工图
C.合同结构图
D.组织结构图
38.建设工程项目施工()应贯穿于项目从投标阶段开始直至保证金返还的全过程,它是企业全面成本管理的重要环节。
A.成本预测
B.成本计划
C.成本控制
D.成本考核
39.在工程项目开工前,监督机构接受建设单位有关建设工程质量监督的申报手续,该手续可以与()合并办理。
A.施工许可证
B.施工组织设计
C.项目管理规划大纲
D.监理规划
40.某工程基础施工中出现了意外情况,导致了工程量由原来的 2800m3 增加到 3500m3,原定工期是 40 天,则承包商可以提出的工期索赔值是( )天。
A.5
B.6
C.8
D.10
41.关于职业健康与安全管理体系合规性评价的说法,正确的是( )。
A.公司级合规性评价每半年进行一次
B.项目组级合规性评价由最高管理者组织项目组进行
C.合规性评价是管理体系自我保证和自我监督的一种机制
D.合规性评价是为了履行遵守法律法规要求的承诺
42.建设项目总承包方编制项目设计建议书的依据是()。
A.项目功能描述
B.项目建设纲要
C.项目评审要求
D.项目构造描述
43.建设工程项目供货方的项目管理主要在()阶段进行。
A.施工
B.设计
C.决策
D.保修
44.对于应当拆除的工程,建设单位应当在拆除工程施工( ),将拆除施工单位资质等级证明,拟拆除建筑物、构筑物及可能涉及毗邻建筑的说明,拆除施工组织方案,堆放、清除废弃物的措施的资料报送建设工程所在地的县级以上的地方人民政府主管部门或者其他有关部门备案。
A.7 日前
B.10 日前
C.15 日前
D.20 日前
45.当网络计划关键线路的实际进度比计划进度拖后时,应在尚未完成的关键工作中,选择()的工作进行调整。
A.资源强度小或直接费用高
B.资源强度小或费用低
C.资源占用量大或直接费用高
D.资源占用量小或直接费用高
46.()是施工阶段质量自控主体。
A.业主
B.监理单位
C.施工方
D.设计单位
47.()是所有安全生产管理制度的核心。
A.安全生产检查制度
B.安全生产教育制度
C.安全生产责任制度
D.安全措施计划制度
48.在双代号网络图中节点表示()。
A.工作的开始或结束
B.工作的不同类型
C.工作资源消耗强度
D.工作的持续时间
49.质量记录应完整地反应质量活动实施、()和评审的情况。
A.签署
B.规划
C.验证
D.纠偏
50.工程变更的索赔有效期,由合同具体规定,一般为 28 天,也有 14 天的。一般这个时间越短,对承包人管理水平的要求越高()。
A.对承包人越有利
B.对发包人越不利
C.对承发包双方都不利
D.对承包人越不利
51.某房屋建筑拆除工程施工中,发生倒塌事故,造成 60 人重伤、8 人死亡。根据《生产安全事故报告和调查处理条例》,该事故属于( )。
A.一般事故
B.较大事故
C.重大事故
D.特别重大事故
52.某工程项目通过改变施工管理和强化合同管理来对项目目标进行纠偏,属于纠偏措施中的()措施。
A.技术
B.管理
C.组织
D.经济
53.由建筑施工企业自主决定的为从事危险作业的职工购买的保险是()。
A.工伤保险
B.意外伤害险
C.基本医疗保险费
D.失业保险费
54.建设工程项目的全面质量管理是指()。
A.各参与主体的工程质量和工作质量的全面管理
B.建设工程项目管理工程的控制
C.组织内部有关人员参与到实施质量方针的环境中
D.工序质量、分项工程质量、分部工程质量及单位工程质量控制
55.下列施工组织设计的内容中,属于施工进度计划的是()。
A.施工资源的需求计划
B.施工顺序的合理安排
C.投入材料的堆场设计
D.施工机械的分析选择
56.项目准备阶段的施工预算成本计划,是以项目实施方案为依据,落实项目经理责任目标为出发点,采用企业的施工定额通过()的编制而形成的实施性施工成本计划。
A.施工方案
B.施工图预算
C.施工组织设计
D.施工预算
57.实现文明施工、现场管理的依据是()。
A.现场围挡
B.现场标识
C.施工总平面图
D.生活设施
58.运用动态控制原理进行建设工程项目投资控制,首先进行的工作是()。
A.分析投资构成,确定投资控制的重点
B.分析并确定影响投资控制的因素
C.进行投资目标分解,确定投资控制的计划值
D.收集经验数据,为投资控制提供参考值
59.某工程项目总价值 1000 万元,合同工期为 18 个月,现承包人因建设条件发生变化需增加额外工程费用 50 万元,则承包方提出工期索赔为( )个月。
A.1.5
B.0.9
C.1.2
D.3.6
60.属于施工项目定期的经常性的中间成本分析是()成本分析。
A.竣工
B.月(季)度
C.分部分项工程
D.年度
61.根据《建设工程项目管理规范》GB/T50326-2017,项目管理规划大纲的编制工作包括:
①分析项目实施条件,进行项目工作结构分解;②明确项目需求和项目管理范围;③报送审批;④确定项目管理组织模式、组织结构和职能分工;⑤规定项目管理措施;⑥编制项目资源计划;⑦确定项目管理目标。正确的编制程序是( )。
A.①-②-⑦-④-③-⑤-⑥
B.①-②-⑦-⑤-③-④-⑥
C.②-⑦-①-④-⑤-⑥-③
D.②-①-⑦-④-⑤-③-⑥
62.“项目策划”指的是目标控制前的一系列()工作。
A.筹划和协调
B.筹划和准备
C.计划和协调
D.计划和准备
63.下面关于建设工程项目策划的说法,正确的是()。
A.旨在为项目的建设和使用增值
B.实质是知识应用的过程
C.可以针对决策和实施中的某个问题进行策划
D.决策阶段的策划包括项目实施的风险策划
64.关于项目管理和工程管理的说法,正确的是( )。
A.工程项目管理的时间是项目的全寿命周期
B.建设工程管理的时间是项目的实施阶段
C.工程管理的核心任务是为项目的使用增值
D.项目管理的核心任务是目标控制
65.某项工作有两个紧后工作,两个紧后工作的最迟完成时间分别为 20 天、15 天,两个紧后工作的持续时间分别为 7 天、12 天,则本工作的最迟完成时间为( )天。
A.13
B.15
C.3
D.20
66.根据《建设工程安全生产管理条例》,工程监理单位应当审核施工组织设计中的安全技术措施或者专项施工方案是否符合()。
A.工程建设设计文件
B.工程建设施工合同
C.工程建设施工规程
D.工程建设强制性标准
67.在成本分析的依据中,()的范围最广
A.业务核算
B.会计核算
C.统计核算
D.进度核算
68.下列成本计划的指标中,属于质量指标的是()。
A.工程项目成本降低额
B.施工项目总成本降低率
C.按子项汇总的工程项目计划总成本指标
D.人工计划成本指标
69.关于计算机辅助工程网络计划编制意义的说法,错误的是()。
A.有利于编制资源需求计划
B.确保工程网络计划计算的准确性
C.有利于工程网络计划及时调整
D.不能解决手工计算的困难
70.某工程项目的赢得值曲线如下图,关于项目偏差原因分析与纠偏措施的说法,正确的是( )。
A.迅速增加人员投入
B.抽出部分人员,放慢进度
C.增加高效人员投入
D.抽出部分人员,增加少量骨干人员
二、多项选择题(共 30 题,每题 2 分,每题的备选项中,有两个或两个以上的符合题意,至少有一个错选,本题不得分;少选,所选的每个选项得 0.5 分)。
71.直方图的形状出现异常的原因可能是()。
A.生产过程存在影响质量的系统因素
B.生产过程存在影响质量的随机因素
C.收集整理数据制作直方图的方法不当
D.质量能力处于临界状态
E.质量管理水平低
72.某分部工程双代号网络计划如下图所示,其中存在的绘图错误有()。
A.循环回路
B.多个终点节点
C.多个起点节点
D.两项工作有相同的代号
E.节点编号重复
73.在工程项目竣工验收阶段,项目监理机构的主要工作任务有()。
A.督促和检查施工单位及时整理竣工文件和验收资料,并提出意见
B.审查施工单位提交的竣工验收申请,编写工程质量评估报告
C.参与设计单位向施工单位的设计交底
D.组织工程预验收,参加业主组织的竣工验收
E.审核分包单位资质条件
74.某工程单代号网络图如下所示,属于关键工作的工序为()。
A.工作 A
B.工作 B
C.工作 C
D.工作 D
E.工作 E
75.关于综合成本分析方法的说法,正确的有()。
A.分部分项工程成本法分析的方法是进行计划成本、目标成本和实际成本的三算对比
B.每一个分部分项工程都必须进行成本分析
C.月度成本分析的依据是当月的成本报表
D.年度成本分析的重点是分析产量、工期、质量、三材节约率对成本的影响
E.单位工程竣工成本分析应包括对主要资源节超比进行对比分析
76.关于施工过程水污染防治措施的说法,正确的有( )。
A.禁止将有毒有害废弃物作土方回填
B.现制水磨石的污水必须经沉淀池沉淀合格后再排放
C.现场存放油料,必须对库房地面进行防渗处理
D.焚烧用于不适合再利用且不宜直接予以填埋处置的废物
E.化学用品、外加剂等要妥善保管,库内存放
77.由不同深度的计划构成的进度计划系统包括()。
A.总进度计划
B.项目子系统进度计划
C.项目子系统中的单项工程进度计划
D.施工安装进度计划
E.控制性进度计划
78.单位工程施工组织设计和施工方案均应包括的内容有()。
A.资源配置计划
B.工程概况
C.施工进度计划
D.施工准备
E.平面布置
79.关于项目结构分解的说法,正确的有( )。
A.项目结构图通过树状图的方式对一个项目的结构进行逐层分解
B.项目结构图能够反映组成该项目的所有工作任务
C.同一个建筑工程项目只能有一个项目结构分解方法
D.项目结构的分解应和整个工程实施的部署相结合,并结合将采用的合同结构
E.项目结构分解考虑到项目进展的总体部署,采用统一的分解方案
80.下列各项属于成本分析的内容的是()。
A.时间节点成本分析
B.工作任务分解单元成本分析
C.组织单元成本分析
D.综合项目成本分析
E.单位指标成本分析
81.关于劳务分包合同的说法,正确的有()。
A.劳务分包人负责编制施工组织设计
B.劳务分包合同的劳动报酬,可以采用固定价格或变动价格
C.劳务工作完成,经承包人认可后 28 天内,劳务分包人向承包人递交完整的结算资料
D.劳务分包人的自有机械,由劳务分包人办理保险,支付保险费
E.运至施工现场的待安装设备,不需劳务分包人支付保险费
82.交货日期的确定可以按照下列方式()。
A.采购方提货的,以供货方按合同规定通知的交货日期为准
B.供货方负责送货的,以采购方收货戳记的日期为准
C.采购方提货的,以供货方按合同规定通知的提货日期为准
D.凡委托运输部门或单位运输、送货或代运的产品,一般以供货方发运产品时承运单位签发的日期为准
E.凡委托运输部门或单位运输、送货或代运的产品不是以向承运单位提出申请的日期为准
83.建设工程施工质量事故调查报告的主要内容应当包括()。
A.事故发生单位概况
B.质量事故的处理依据
C.事故发生原因和事故性质
D.事故防范和整改措施
E.事故处理的初步结论
84.建设工程施工质量事故调查报告的主要内容应当包括()。
A.事故发生单位概况
B.质量事故的处理依据
C.事故发生原因和事故性质
D.事故防范和整改措施
E.事故处理的初步结论
85.单位工程质量验收合格应符合的规定有()。
A.所含分部工程的质量均应验收合格
B.质量控制资料应完整
C.观感质量应符合要求
D.建设单位已按合同约定支付工程款
E.主要使用功能的抽查结果应符合相关专业质量验收规范的规定
86.下列属于建设单位质量责任与义务的事项有()。
A.依法对建筑材料、建筑构配件进行检验
B.依法对工程建设有关的主要设备进行招标采购
C.开工前,应当按照国家有关规定办理工程质量监督手续,工程质量监督手续可以与施工许可证或者开工报告合并办理
D.在建设工程竣工验收后,及时向有关部门移交建设项目档案
E.隐蔽工程在隐蔽前,通知建设工程质量监督机构
87.项目决策期建设工程管理的主要任务是()等。
A.项目决策的风险分析
B.项目目标分析与再论证
C.项目实施的合同策划
D.与项目决策有关的管理方面的论证与策划
E.与项目决策有关的技术方面的论证与策划
88.DAB 的任命方式通常有()方式。
A.常任争端裁决委员会
B.特聘争端裁决委员会
C.由工程师兼任
D.常务争端裁决委员会
E.纠纷审议委员会
89.施工总承包管理与施工总承包相比,其在工作开展程序方面的不同主要表现在( )。
A.施工总承包管理单位的招标可以不依赖完整的施工图
B.施工总承包管理单位的招标当完成一部分施工图就可对其进行招标
C.工程实体不得由施工总承包管理单位化整为零,分别进行分包
D.施工总承包管理模式可以在很大程度上缩短建设周期
E.施工总承包管理模式下,每完成一部分施工图就可以分包招标一部分
90.决策阶段管理工作的主要任务是确定项目的定义,一般包括如下内容()。
A.确定项目实施的组织
B.确定和落实建设地点
C.确定建设目的、任务和建设的指导思想及原则
D.确定和落实项目建设的资金
E.编制项目设计任务书
91.分析合同产生偏差的原因可以采用()等方法定性或定量地进行。
A.鱼刺图
B.因果关系分析图(表)
C.成本量差、价差
D.因素分析法
E.效率差分析合同产生偏差的原因分析
92.建设工程项目信息管理手册的主要内容包括()等。
A.信息的编码体系和编码
B.信息输入输出模型
C.工程档案管理制度
D.各种报表和报告格式
E.信息应用效果分析
93.关于项目参与各方项目管理的说法,正确的是()。
A.业主方项目管理的投资目标指的是项目的总投资目标
B.设计方的项目管理目标不包括项目的投资目标
C.施工方的项目管理不包括安全管理
D.供货方的项目管理工作主要在施工阶段,但也涉及设计准备阶段、设计阶段等
E.建设工程总承包方项目管理的目标包括项目的总投资目标等
94.进行施工成本分析时,比较法的应用通常采用的形式有()。
A.将实际指标与目标指标对比
B.本期实际指标与上期实际指标对比
C.本期实际指标与拟完成指标对比
D.与本行业平均水平对比
E.与本行业先进水平对比
95.为维持职业健康安全与环境管理体系的运行,管理评审应注意的问题有()。
A.评审中提出的问题应认真进行整改,不断持续改进
B.审查评审人员的执业资格
C.信息输入的充分性和有效性
D.评审结论应该清楚明了、表述准确
E.评审过程要充分、严谨
96.在我国,大型房屋建筑工程标准一般指()。
A.25 层以上的房屋建筑工程
B.高度 100m 及以上的构筑物或建筑物工程
C.单体建筑面积 2 万㎡及以上的房屋建筑工程
D.单跨跨度 36m 及以上的房屋建筑工程
E.建筑面积 10 万㎡及以上的住宅小区或建筑群体工程
97.以下部位或环节能够作为质量控制点的是()。
A.新技术,新工艺的部位
B.对下道工序产生一般影响的上道工序
C.施工过程中的薄弱环节
D.对工程质量形成过程产生间接影响的关键工序
E.用户指出和有过返工的不良工序
98.关于成本管理的任务,下列说法正确的有( )。
A.成本偏差的控制,分析是核心,纠偏是关键
B.成本计划是以货币形式编制施工项目的书面方案
C.成本控制应贯穿于项目从投标阶段开始直至保证金返还的全过程
D.通过成本分析,做到有奖有惩,能够调动员工在各自岗位上努力完成目标成本的积极性
E.成本核算一般以单位工程为对象
99.某分项工程采用赢得值法分析得到:(BCWP)>(BCWS)>(ACWP),则关于该工程进度和费用指标的说法,正确的有()。
A.费用节余
B.进度提前
C.费用超支
D.进度延误
E.费用绩效指数大于 1
100.下列关于排列图法的说法正确的有( )。
A.排列图法的主要作用是找出影响质量的各种问题
B.排列图法的主要作用是分清影响质量的主次因素
C.排列图主次分明
D.排列图法中通常用 ABC 分类管理法对质量问题因素进行分类
E.排列图法在计算累计频率前,需要先将各质量问题的出现频数从大到小排列
一级建造师《建设工程项目管理》补考考前模拟卷(二)参考答案
1.【答案】A
【解析】本题考查的是项目结构的编码。项目结构的编码依据项目结构图,对项目结构的每一层的每一个组成部分进行编码。项目结构的编码和用于投资控制、进度控制、质量控制、合同管理和信息管理等管理工作的编码有紧密的有机联系,但它们之间又有区别。项目结构图和项目结构的编码是编制上述其他编码的基础。
2.【答案】D
【解析】固定总价合同适用于以下情况:
1.工程量小、工期短,估计在施工过程中环境因素变化小,工程条件稳定并合理;
2.工程设计详细,图纸完整、清楚,工程任务和范围明确;
3.工程结构和技术简单,风险小;
4.投标期相对宽裕,承包商可以有充足的时间详细考察现场、复核工程量,分析招标文件,拟订施工计划。所以 D 正确。
3.【答案】B
【解析】本题考查的是管理措施。管理措施(包括合同措施),分析由于管理的原因而影响项目目标实现的问题,并采取相应的措施,如调整进度管理的方法和手段,改变施工管理和强化合同管理等。所以“对进度控制的方法进行调整”正确。“对进度控制的任务分工进行调整”属于组织措施;“落实加快工程施工进度所需的资金”属于经济措施;“改变施工机械加快工程进度”属于技术措施。
4.【答案】A
【解析】本题考查的是项目总进度目标论证的工作内容。在进行建设工程项目总进度目标控制前,首先应分析和论证进度目标实现的可能性。若项目总进度目标不可能实现,则项目管理者应提出调整项目总进度目标的建议,并提请项目决策者审议。
5.【答案】C
【解析】招标人通过媒体发布招标公告,或向符合条件的投标人发出招标文件,为要约邀请。6.【答案】C
【解析】咨询服务费用由酬金(人月费率乘以人月数)、可报销费用、不可预见费用三部分组成,其中以酬金的计算最为复杂。A 错误;
人月费单价法实际上是咨询机构估算咨询服务费用的最基本的方法,其他计费方法大多不过是这种方法经转换后的表现形式而已。采用人月费单价法时,除了根据咨询任务的范围、内容、难易程度等估计所需要的人月数之外,合理确定各种费用的数额或比例就成为关键。B错误;
人月费单价法是咨询服务中最常用、最基本的以服务时间为基础的计费方法。C 正确;
工程建设费用百分比是根据工程规模的大小、技术复杂程度、咨询服务内容的范围和要求等因素,取工程建设费的一定比例作为咨询费。D 错误。
7.【答案】B
【解析】建设工程项目实施阶段策划是在建设项目立项之后,为了把项目决策付诸实施而形成的指导性的项目实施方案。
8.【答案】C
【解析】根据国家发展改革委 2017 年 11 月 23 日颁布的第 10 号令《招标公告和公示信息发布管理办法》(2018 年 1 月 1 日开始执行),依法必须招标项目的招标公告和公示信息应当在“中国招标投标公共服务平台”或者项目所在地省级电子招标投标公共服务平台(以下统一简称“发布媒介”)发布。依法必须招标项目的招标公告和公示信息除在发布媒介发布外,招标人或其招标代理机构也可以同步在其他媒介公开,并确保内容一致。其他媒介可以依法全文转载依法必须招标项目的招标公告和公示信息,但不得改变其内容,同时必须注明信息来源。
9.【答案】C
【解析】凡持有项目经理资质证书或者建造师注册证书的人员,经其所在企业聘用后均可担任工程项目施工的项目经理;A 选项错误;项目经理不是一个技术岗位,而是一个管理岗位,选项错误;大、中型工程项目施工的项目经理必须由取得建造师注册证书的人员担任;但取得建造师注册证书的人员是否担任工程项目施工的项目经理,由企业自主决定。C 选项正确,D 选项错误。
10.【答案】B
【解析】本题考查的是质量管理的 PDCA 循环。质量管理的计划职能,包括确定质量目标和制定实现质量目标的行动方案两方面。
11.【答案】A
【解析】已完工作预算费用(BCWP)=∑(已完成工作量×预算单价)=4500m3×72 元/m3=324000元;
已完工作实际费用(ACWP)=∑(已完成工作量×实际单价)=4500m3×68 元/m3=306000 元;费用偏差(CV)=已完工作预算费用(BCWP)-已完工作实际费用(ACWP)=18000 元。
12.【答案】B
【解析】本题考查的是项目目标动态控制的纠偏措施。管理措施(包括合同措施),分析由于管理的原因而影响项目目标实现的问题,并采取相应的措施,如调整进度管理的方法和手段,改变施工管理和强化合同管理等。“调整项目管理班子人员”属于组织措施;“落实加快工程施工进度所需的资金”属于经济措施;“改变施工机械加快工程进度”属于技术措施。13.【答案】B
【解析】加强劳动定额管理,提高劳动生产率,降低工程耗用人工工日,是控制人工费支出的主要手段。所以 B 正确。
14.【答案】A
【解析】工作流程组织包括:
(1)管理工作流程组织,如投资控制、进度控制、合同管理、付款和设计变更等流程。
(2)信息处理工作流程组织,如与生成月度进度报告有关的数据处理流程。
(3)物质流程组织,如钢结构深化设计工作流程、弱电工程物资采购工作流程、外立面施工工作流程等。
15.【答案】C
【解析】每一条 S 形曲线都对应某一特定的工程进度计划。因为在进度计划的非关键路线中存在许多有时差的工序或工作,因而 S 形曲线必然包络在由全部工作都按最早开始时间开始和全部工作都按最迟必须开始时间开始的曲线所组成的"香蕉图"内。项目经理可根据编制的成本支出计划来合理安排资金,同时项目经理也可以根据筹措的资金来调整 S 形曲线,即通过调整非关键路线上的工序项目的最早或最迟开工时间,力争将实际的成本支出控制在计划的范围内。
16.【答案】A
【解析】组织结构模式反映了一个组织系统中各子系统之间或各元素(各工作部门或各管理人员)之间的指令关系。指令关系指的是哪一个工作部门或哪一位管理人员可以对哪一个工作部门或哪一位管理人员下达工作指令。所以 A 正确。
17.【答案】A
【解析】现场文明施工管理基本要求:(1)有整套的施工组织设计或施工方案,施工总平面布置紧凑,施工场地规划合理,符合环保、市容、卫生的要求。选项 B、C、D 均属于施工现场环境保护的要求。
18.【答案】C
【解析】本题考查的是预付款担保。预付款担保的主要形式是银行保函。预付款担保的担保金额通常与发包人的预付款是等值的。预付款一般逐月从工程付款中扣除,预付款担保的担保金额也相应逐月减少。
19.【答案】D
【解析】本题考查的是竞争性成本计划。竞争性成本计划是施工项目投标及签订合同阶段的估算成本计划。
20.【答案】A
【解析】本题考查的是施工任务委托的模式。施工总承包,即业主方委托一个施工单位或由多个施工单位组成的施工联合体或施工合作体作为施工总包单位,经业主同意,施工总承包单位可以根据需要将施工任务的一部分分包给其他符合资质的分包人。
21.【答案】D
【解析】本题考查的是工程网络计划有关时间参数的计算。本题考查的相关概念如下:(1)
最早开始时间(ESi-j),是指在各紧前工作全部完成后,工作 i-j 有可能开始的最早时刻。(2)最早完成时间(EFi-j),是指在各紧前工作全部完成后,工作 i-j 有可能完成的最早时刻。(3)最迟开始时间(LSi-j),是指在不影响整个任务按期完成的前提下,工作 i-j 必须开始的最迟时刻。(4)最迟完成时间(LEi-j),是指在不影响整个任务按期完成的前提下,工作 i-j 必须完成的最迟时刻。
22.【答案】B
【解析】本题考查的是项目决策阶段策划的工作内容。经济策划主要工作内容包括:项目建设成本分析;项目效益分析;融资方案;编制资金需求量计划。
23.【答案】B
【解析】本题考查的是 FIDIC 系列合同条件。FIDIC 新黄皮书中合同计价方式属于总价合同,如果发生法规规定的变化或物价波动,合同价格可随之调整。
24.【答案】B
【解析】本题需要充分理解双代号时标网络的涵义。
25.【答案】A
【解析】本题重点考查 FIDIC 系列合同条件。(1)《施工合同条件》(简称“新红皮书”)。“新红皮书”与原“红皮书”相对应,但其名称改变后合同的适用范围更大。该合同主要用于由发包人设计的或由咨询工程师设计的房屋建筑工程和土木工程的施工项目。合同计价方式属于单价合同,但也有某些子项采用包干价格。工程款按实际完成工程量乘以单价进行结算。26.【答案】D
【解析】总时差是指在不影响总工期的前提下,该工作可以利用的机动时间。题中该工作总时差为 5 天,实际进度拖后影响总工期 1 天,则延误时间为 5+1=6 天。
27.【答案】D
【解析】本题考查的是单价合同。单价合同的特点是单价优先,当总价和单价的计算结果不一致时,以单价为准调整总价。
28.【答案】B
【解析】本题考查的是施工企业劳动用工和工资支付管理。建筑施工企业因暂时生产经营困难无法按劳动合同约定的日期支付工资的,应当向劳动者说明情况,并经与工会或职工代表协商一致后,可以延期支付工资,但最长不得超过 30 日。
29.【答案】C
【解析】本题考查的是建设工程项目总进度目标论证的工作步骤。建设工程项目总进度目标论证的工作步骤如下:(1)调查研究和收集资料;(2)项目结构分析;(3)进度计划系统的结构分析;(4)项目的工作编码;(5)编制各层进度计划;(6)协调各层进度计划的关系,编制总进度计划;(7)若所编制的总进度计划不符合项目的进度目标,则设法调整;(8)若经过多次调整,进度目标无法实现,则报告项目决策者。
30.【答案】A
【解析】本题考查的是建设工程项目管理的目标和任务。“自项目开始至项目完成”指的是项目的实施阶段。
31.【答案】C
【解析】监督机构应当具备下列条件:
(1)具有符合规定条件的监督人员,人员数量由县级以上地方人民政府建设主管部门根据实际需要确定,监督人员应当占监督机构总人数的 75%以上。
(2)有固定的工作场所和满足工程质量监督检查工作所需要的仪器、设备和工具等。
(3)有健全的质量监督工作制度,具备与质量监督工作相适应的信息化管理条件。
32.【答案】B
【解析】本题考查的是施工合同跟踪。施工合同跟踪有两个方面的含义。一是承包单位的合同管理职能部门对合同执行者的履行情况进行的跟踪、监督和检查,二是合同执行者(项目经理部或项目参与人)本身对合同计划的执行情况进行的跟踪、检查与对比。
33.【答案】B
【解析】外部环境预警系统包括:自然环境突变的预警、政策法规变化的预警、技术变化的预警。所以 B 正确。
34.【答案】D
【解析】经常性安全检查:工程项目和班组应开展经常性安全检查,及时排除事故隐患。工作人员必须在工作前,对所用的机械设备和工具进行仔细的检查,发现问题立即上报。下班前,还必须进行班后检查,做好设备的维修保养和清整场地等工作,保证交接安全。
35.【答案】B
【解析】本题考查的是成本计划编制依据。成本计划的编制依据应包括下列内容:(1)合同文件;(2)项目管理实施规划;(3)相关设计文件;(4)价格信息;(5)相关定额;(6)类似项目的成本资料。
36.【答案】C
【解析】本题考查的是履约担保。履约担保,是指招标人在招标文件中规定的要求中标的投标人提交的保证履行合同义务和责任的担保。这是工程担保中最重要也是担保金额最大的工程担保。
37.【答案】C
【解析】合同结构图反映业主方与项目各参与方之间,以及项目各参与方之间的合同关系。
因此选项 C 正确。
38.【答案】C
【解析】本题考查的是成本管理的任务。建设工程项目施工成本控制应贯穿于项目从投标阶段开始直至保证金返还的全过程,它是企业全面成本管理的重要环节。
39.【答案】A
【解析】本题考查的是施工质量监督管理的实施。在工程项目开工前,监督机构接受建设单位有关建设工程质量监督的申报手续,并对建设单位提供的有关文件进行审查,审查合格签发有关质量监督文件。工程质量监督手续可以与施工许可证或开工报告合并办理。
40.【答案】D
【解析】工期索赔值=原工期×新增工程量/原工程量=40×(3500-2800)/2800=10 天。所以 D 正确。
41.【答案】D
【解析】项目组级评价,由项目经理组织有关人员对施工中应遵守的法律法规和其他要求的执行情况进行一次合规性评价。当某个阶段施工时间超过半年时,合规性评价不少于一次。项目工程结束时应针对整个项目工程进行系统的合规性评价。公司级评价每年进行一次,制定计划后由管理者代表组织企业相关部门和项目组,对公司应遵守的法律法规和其他要求的执行情况进行合规性评价。
42.【答案】B
【解析】本题考查的是项目总承包从招标开始至确定合同价的基本工作程序。业主方自行编制,或委托顾问工程师编制项目建设纲要或设计纲要,它是建设工程项目总承包方编制项目设计建议书的依据。
43.【答案】A
【解析】供货方的项目管理工作主要在施工阶段进行,但它也涉及设计准备阶段、设计阶段、动用前准备阶段和保修期。
44.【答案】C
【解析】本题考查的是建设工程职业健康安全与环境管理的要求。对于应当拆除的工程,建设单位应当在拆除工程施工 15 日前,将拆除施工单位资质等级证明,拟拆除建筑物、构筑物及可能涉及毗邻建筑的说明,拆除施工组织方案,堆放、清除废弃物的措施的资料报建设工程所在地的县级以上的地方人民政府主管部门或者其他有关部门备案。
45.【答案】B
【解析】本题考查的是进度计划的调整。当关键线路的实际进度比计划进度拖后时,应在尚未完成的关键工作中,选择资源强度小或费用低的工作缩短其持续时间。因为这样可以节省成本,避免成本的大额增加。
46.【答案】C
【解析】施工方是施工阶段质量自控主体。
47.【答案】C
【解析】本题考查的是安全生产责任制度。安全生产责任制是最基本的安全管理制度,是所有安全生产管理制度的核心。
48.【答案】A
【解析】
节点是网络图中箭线之间的连接点。在时间上节点表示指向某节点的工作全部完成后该节点后面的工作才能开始的瞬间,它反映前后工作的交接点。
49.【答案】C
【解析】本题考查的是企业质量管理体系文件构成。质量记录应完整地反映质量活动实施、验证和评审的情况,并记载关键活动的过程参数,具有可追溯性的特点。
50.【答案】D
【解析】本题考查的是建设工程施工合同分析的内容。工程变更的索赔有效期,由合同具体规定,一般为 28 天,也有 14 天的。一般这个时间越短,对承包人管理水平的要求越高,对承包人越不利。
51.【答案】C
【解析】依据 2007 年 6 月 1 日起实施的《生产安全事故报告和调查处理条例》规定,按生产安全事故(以下简称事故)造成的人员伤亡或者直接经济损失,事故分为:
(1)特别重大事故,是指造成 30 人以上死亡,或者 100 人以上重伤(包括急性工业中毒,下同),或者 1 亿元以上直接经济损失的事故。
(2)重大事故,是指造成 10 人以上 30 人以下死亡,或者 50 人以上 100 人以下重伤,或者5000 万元以上 1 亿元以下直接经济损失的事故。
(3)较大事故,是指造成 3 人以上 10 人以下死亡,或者 10 人以上 50 人以下重伤,或者1000 万元以上 5000 万元以下直接经济损失的事故。
(4)一般事故,是指造成 3 人以下死亡,或者 10 人以下重伤,或者 1000 万元以下直接经济损失的事故。
52.【答案】B
【解析】本题考查的是项目目标动态控制的纠偏措施。项目动态控制的纠偏措施中,涉及组织结构、工作职能分工、工作流程的是组织措施;涉及管理思想、方法、手段、合同管理等的是管理措施;涉及资金、激励等的是经济措施;涉及技术、施工方案等的是技术措施。注意四大措施的区分,尤其要注意管理措施与组织措施。
53.【答案】B
【解析】建筑施工企业作为用人单位,为职工参加工伤保险并交纳工伤保险费是其应尽的法定义务,但为从事危险作业的职工投保意外伤害险并非强制性规定,是否投保意外伤害险由建筑施工企业自主决定。
54.【答案】A
【解析】建设工程项目的全面质量管理,是指项目参与各方所进行的工程项目质量管理的总称,其中包括工程(产品)质量和工作质量的全面管理。
55.【答案】A
【解析】本题考查的是施工组织设计的基本内容。施工进度计划:(1)施工进度计划反映了最佳施工方案在时间上的安排,采用计划的形式,使工期、成本、资源等方面,通过计算和调整达到优化配置,符合项目目标的要求;(2)使工序有序地进行,使工期、成本、资源等通过优化调整达到既定目标,在此基础上编制相应的人力和时间安排计划、资源需求计划和施工准备计划。“施工顺序的合理安排”属于施工部署及施工方案;“投入材料的堆场设计”属于施工平面图;“施工机械的分析选择”属于施工部署及施工方案。
56.【答案】D
【解析】本题考查的是实施性成本计划。项目准备阶段的施工预算成本计划,是以项目实施方案为依据,落实项目经理责任目标为出发点,采用企业的施工定额通过施工预算的编制而形成的实施性施工成本计划。
57.【答案】C
【解析】本题考查的是建设工程现场文明施工的措施。施工总平面图是现场管理、实现文明施工的依据。
58.【答案】C
【解析】运用动态控制原理控制投资的步骤,第一步就是进行投资目标分解,确定投资控制的计划值。
59.【答案】B
【解析】18/1000×50=0.9。
60.【答案】B
【解析】本题考查的是综合成本的分析方法。月(季)度成本分析,是施工项目定期的、经常性的中间成本分析,对于施工项目来说具有特别重要的意义。通过月(季)度成本分析,可以及时发现问题,以便按照成本目标指定的方向进行监督和控制,保证项目成本目标的实现。
61.【答案】C
【解析】本题考查的是项目管理规划大纲的编制。项目管理规划大纲的编制工作程序:(1)明确项目需求和项目管理范围。(2)确定项目管理目标。(3)分析项目实施条件,进行项目工作结构分解。(4)确定项目管理组织模式、组织结构和职能分工。(5)规定项目管理措施。(6)编制项目资源计划。(7)报送审批。
62.【答案】B
【解析】建设工程项目管理的内涵是:自项目开始至项目完成,通过项目策划和项目控制,以使项目的费用目标、进度目标和质量目标得以实现。该定义的有关字段的含义如下:“自项目开始至项目完成”指的是项目的实施阶段;“项目策划”指的是目标控制前的一系列筹划和准备工作;“费用目标”对业主而言是投资目标,对施工方而言是成本目标。所以 B 正确。
63.【答案】C
【解析】本题考查的是建设工程项目策划。“旨在为项目的建设和使用增值”错误,旨在为项目建设的决策和实施增值。“实质是知识应用的过程”错误,实质是知识管理的过程。“可以针对决策和实施中的某个问题进行策划”正确,策划针对建设工程项目的决策和实施,或决策和实施中的某个问题。“决策阶段的策划包括项目实施的风险策划”错误,决策阶段的策划不包括项目实施的风险策划。
64.【答案】D
【解析】选项 A 的正确说法应为工程项目管理的时间是项目实施阶段,选项 B 的正确说法应为建设工程管理的时间是项目的全寿命周期,选项 C 的正确说法应为建设工程管理的核心任务是为工程的建设和使用增值。
由于项目管理的核心任务是项目的目标控制,因此按项目管理学的基本理论,没有明确目标的建设工程不是项目管理的对象。所以 D 正确。
65.【答案】C
【解析】本题考查的是双代号网络计划时间参数的计算。两个紧后工作的最迟开始时间分别是 13 天和 3 天,所以该项工作的最迟完成时间为 3 天。
66.【答案】D
【解析】工程监理单位应当审查施工组织设计中的安全技术措施或者专项施工方案是否符合工程建设强制性标准。
67.【答案】A
【解析】会计和统计核算一般是对已经发生的经济活动进衍核算,而业务核算不但可以核算已经完成的项目是否达到原定的目的、取得预期的效果,而且可以对尚未发生或正在发生的经济活动进行核算
68.【答案】B
【解析】成本计划的质量指标,如项目总成本降低率
(1)设计预算成本计划降低率=设计预算总成本计划降低额/设计预算总成本。
(2)责任目标成本计划降低率=责任目标总成本计划降低额/责任目标总成本。
69.【答案】D
【解析】计算机辅助工程网络计划编制意义如下:
(1)解决当工程网络计划计算量大,而手工计算难以承担的困难
(2)确保工程网络计划计算的准确性。
(3)有利于工程网络计划及时调整。
(4)有利于编制资源需求计划等。
70.【答案】A
【解析】BCWS>BCWP>ACW,SV<0 CV>0 分析:效率较高,进度较慢,措施:迅速增加人员投入
71.【答案】AC
【解析】本题考查的是直方图的观察分析。直方图形状出现异常的原因可能是生产过程存在影响质量的系统因素,或收集整理数据制作直方图的方法不当所致,要具体问题具体分析。所以“生产过程存在影响质量的系统因素、收集整理数据制作直方图的方法不当”正确。
72.【答案】BDE
【解析】根据图示,9、10 都是终点节点;节点 7 是重复的节点。
73.【答案】ABD
【解析】本题考查的是竣工验收阶段建设监理工作的主要任务。竣工验收阶段建设监理工作的主要任务:(1)督促和检查施工单位及时整理竣工文件和验收资料,并提出意见;(2)审查施工单位提交的竣工验收申请,编写工程质量评估报告;(3)组织工程预验收,参加业主组织的竣工验收,并签署竣工验收意见;(4)编制、整理工程监理归档文件并提交给业主。“参与设计单位向施工单位的设计交底”、“审核分包单位资质条件”属于施工准备阶段监理工作的主要任务。
74.【答案】BDE
【解析】根据图示可知单代号网络图关键线路为 1-3-5-6,工期为 0+6+5+2=13。关键线路上的工作即为关键工作,工作 B、D、E 为关键工作。所以 B、D、E 正确。
75.【答案】CE
【解析】分部分项工程成本分析是施工项目成本分析的基础。分部分项工程成本分析的对象为已完成分部分项工程,分析的方法是:进行预算成本、目标成本和实际成本的“三算”对比,分别计算实际偏差和目标偏差,分析偏差产生的原因,为今后的分部分项工程成本寻求节约途径。A 错误;
由于施工项目包括很多分部分项工程,无法也没有必要对每一个分部分项工程都进行成本分析。特别是一些工程量小、成本费用少的零星工程。但是,对于那些主要分部分项工程必须进行成本分析,而且要做到从开工到竣工进行系统的成本分析。B 错误;
年度成本分析的依据是年度成本报表。年度成本分析的内容,除了月(季)度成本分析的六个方面以外,重点是针对下一年度的施工进展情况制定切实可行的成本管理措施,以保证施工项目成本目标的实现。D 错误。
76.【答案】ABCE
【解析】(1)禁止将有毒有害废弃物作土方回填。
(2)施工现场搅拌站废水,现制水磨石的污水,电石(碳化钙)的污水必须经沉淀池沉淀合格后再排放,最好将沉淀水用于工地洒水降尘或采取措施回收利用。
(3)现场存放油料,必须对库房地面进行防渗处理,如采用防渗混凝土地面、铺油毡等措施。使用时,要采取防止油料跑、冒、滴、漏的措施,以免污染水体。
(6)化学用品、外加剂等要妥善保管,库内存放,防止污染环境。焚烧用于不适合再利用且不宜直接予以填埋处置的废物属于固体废物的处理和处置。
77.【答案】ABC
【解析】本题考查的是不同类型的建设工程项目进度计划系统。由不同深度的计划构成进度计划系统,包括:总进度规划(计划);项目子系统进度规划(计划);项目子系统中的单项工程进度计划等。
78.【答案】ABCD
【解析】本题考查的是施工组织设计的分类及其内容。单位工程施工组织设计和施工方案均包括的内容有:工程概况、施工进度计划、施工准备与资源配置计划。
79.【答案】ABD
【解析】选项 C、E 错误。其中,选项 C,同一个建设工程项目可有不同的项目结构的分解方法,不是“只能有一个项目结构分解方法”;选项 E,项目结构分解并没有统一的模式。80.【答案】ABCD
【解析】本题考查的是成本分析的内容。成本分析的内容:(1)时间节点成本分析。(2)工作任务分解单元成本分析。(3)组织单元成本分析。(4)单项指标成本分析。(5)综合项目成本分析。
81.【答案】BDE
【解析】承包人负责编制施工组织设计,统一制定各项管理目标,组织编制年、季、月施工计划、物资需用量计划表,实施对工程质量、工期、安全生产、文明施工、计量检测、实验化验的控制、监督、检查和验收。A 错误;劳务报酬,可以采用固定价格或变动价格。采用固定价格,则除合同约定或法律政策变化导致劳务价格变化以外,均为一次包死,不再调整。 B 正确;全部工作完成,经承包人认可后 14 天内,劳务分包人向承包人递交完整的结算资料,双方按照本合同约定的计价方式,进行劳务报酬的最终支付。C 错误;承包人必须为租赁或提供给劳务分包人使用的施工机械设备办理保险,并支付保险费用。D 正确;运至施工场地用于劳务施工的材料和待安装设备,由承包人办理或获得保险,且不需劳务分包人支付保险费用。E 正确。
82.【答案】BCDE
【解析】交货日期的确定可以按照下列方式:
(1)供货方负责送货的,以采购方收货戳记的日期为准。
(2)采购方提货的,以供货方按合同规定通知的提货日期为准。
(3)凡委托运输部门或单位运输、送货或代运的产品,一般以供货方发运产品时承运单位签发的日期为准,不是以向承运单位提出申请的日期为准。采购方提货的,以供货方按合同规定通知的提货日期为准。故选项 A 错误。
83.【答案】ACD
【解析】事故调查报告内容:事故调查报告内容:①事故发生单位概况;②事故发生经过和事故救援情况;③事故造成的人员伤亡和直接经济损失;④事故项目有关质量检测报告和技术分析报告;⑤事故发生原因和事故性质;⑥事故责任的认定以及对事故责任者的处理建议;⑦事故防范和整改措施。选项 B 和 E 都属于施工质量事故处理报告的内容。
84.【答案】ACD
【解析】事故调查报告内容:事故调查报告内容:①事故发生单位概况;②事故发生经过和事故救援情况;③事故造成的人员伤亡和直接经济损失;④事故项目有关质量检测报告和技术分析报告;⑤事故发生原因和事故性质;⑥事故责任的认定以及对事故责任者的处理建议;⑦事故防范和整改措施。选项 B 和 E 都属于施工质量事故处理报告的内容。
85.【答案】ABCE
【解析】单位工程是工程项目竣工质量验收的基本对象。单位工程质量验收合格应符合下列规定:
(1)所含分部工程的质量均应验收合格。
(2)质量控制资料应完整。
(3)所含分部工程有关安全、节能、环境保护和主要使用功能的检验资料应完整。
(4)主要使用功能的抽查结果应符合相关专业质量验收规范的规定。
(5)观感质量应符合要求。
86.【答案】BCD
【解析】建设单位的质量责任和义务,包括:
(1)建设单位应当依法对工程建设项目的勘察、设计、施工、监理以及与工程建设有关的重要设备、材料等的采购进行招标。
(2)建设单位在开工前,应当按照国家有关规定办理工程质量监督手续,工程质量监督手续可以与施工许可证或者开工报告合并办理。
(3)建设单位应当严格按照国家有关档案管理的规定,及时收集、整理建设项目各环节的文件资料,建立、健全建设项目档案,并在建设工程竣工验收后,及时向建设行政主管部门或者其他有关部门移交建设项目档案。A、E 属于施工单位的质量责任与义务。所以 B、C、D正确。
87.【答案】ADE
【解析】项目决策期建设工程管理的主要任务是:
(1)建设环境和条件的调查与分析。
(2)项目建设目标论证(投资、进度和质量目标)与确定项目定义。
(3)项目结构分析。
(4)与项目决策有关的组织、管理和经济方面的论证与策划。
(5)与项目决策有关的技术方面的论证与策划。
(6)项目决策的风险分析等。
88.【答案】ABC
【解析】根据工程项目的规模和复杂程度,争端裁决委员会可以由一人、三人或者五人组成,其任命通常有三种方式:(1)常任争端裁决委员会,(2)特聘争端裁决委员会,(3)由工程师兼任。
89.【答案】ABDE
【解析】选项 B 正确、选项 C 错误。其中,选项 B,如果采用施工总承包管理模式,施工总承包管理单位的招标可以不依赖完整的施工图,当完成一部分施工图就可对其进行招标,E正确。一般情况下,施工总承包管理单位不参与具体工程的施工,但如施工总承包管理单位也想承担部分工程的施工,它也可以参加该部分工程的投标,通过竞争取得施工任务(C 项错误)。不需要等待施工图设计完成后再进行施工总承包管理的招标,分包合同的招标也可以提前,这样就有利于提前开工,有利于缩短建设周期(D 正确)。
90.【答案】ABCD
【解析】本题考查的是建设工程管理的内涵。决策阶段管理工作的主要任务是确定项目的定义,一般包括如下内容:(1)确定项目实施的组织;(2)确定和落实建设地点;(3)确定建设目的、任务和建设的指导思想及原则;(4)确定和落实项目建设的资金;(5)确定建设项目的投资目标、进度目标和质量目标等。
91.【答案】ABCE
【解析】原因分析可以采用鱼刺图、因果关系分析图(表)、成本量差、价差、效率差分析等方法定性或定量地进行。
92.【答案】ABCD
【解析】本题考查的是信息管理手册。建设工程项目信息管理手册的主要内容包括:(1)信息管理的任务(信息管理任务目录);(2)信息管理的任务分工表和管理职能分工表;(3)信息的分类;(4)信息的编码体系和编码;(5)信息输入输出模型;(6)各项信息管理工作的工作流程图;(7)信息流程图;(8)信息处理的工作平台及其使用规定;(9)各种报表和报告的格式,以及报告周期;(10)项目进展的月度报告、季度报告、年度报告和工程总报告的内容及其编制;(11)工程档案管理制度;(12)信息管理的保密制度等。
93.【答案】ADE
【解析】业主方项目管理服务于业主的利益,其项目管理的目标包括项目的投资目标进度目标和质量目标。其中投资目标指的是项目的总投资目标,选项 A 正确。
由于项目的投资目标能否得以实现与设计工作密切相关,因此,设计方项目管理的目标包括设计的成本目标、设计的进度目标和设计的质量目标,以及项目的投资目标,选项 B 错误。施工方的项目管理包含安全管理、成本控制、进度控制、质量控制、合同管理、信息管理以及与施工有关的组织与协调,选项 C 错误。
供货方的项目管理工作主要在施工阶段进行,但它也涉及项目的准备阶段、设计阶段以及动用前准备阶段和保修期,选项 D 正确。
建设工程总承包方的项目管理目标包含工程建设的安全管理目标、项目的总投资目标和建设项目工程总承包方的成本目标、项目总承包方的进度目标、项目总承包方的质量目标,选项 E 正确。
所以 A、D、E 正确。
94.【答案】ABDE
【解析】本题考查的是成本分析的基本方法。比较法的应用通常采用的形式包括:将实际指标与目标指标对比;本期实际指标与上期实际指标对比;与本行业平均水平、先进水平对比。
95.【答案】ACDE
【解析】管理评审中应注意以下问题:
(1)信息输入的充分性和有效性。
(2)评审过程充分严谨,应明确评审的内容和对相关信息的收集、整理,并进行充分的讨论和分析。
(3)评审结论应该清楚明了,表述准确。
(4)评审中提出的问题应认真进行整改,不断持续改进。
96.【答案】ABE
【解析】我国大型房屋建筑工程标准一般指:(1)25 层以上的房屋建筑工程;(2)高度 100m 及以上的构筑物或建筑物工程;(3)单体建筑面积 3 万㎡及以上的房屋建筑工程;(4)单跨跨度 30m 及以上的房屋建筑工程;(5)建筑面积 10 万㎡及以上的住宅小区或建筑群体工程;(6)单项建安合同额 1 亿元及以上的房屋建筑工程。但在实际操作中,具备上述规模的建筑工程很多只需编制单位工程施工组织设计,需要编制施工组织总设计的建筑工程,其规模应当超过上述大型建筑工程的标准,通常需要分期分批建设,可称为特大型项目
97.【答案】ACE
【解析】B 错误:对下道工序有较大影响的上道工序,D 错误,对工程质量形成过程产生直接影响的关键不完,工序。
98.【答案】BCE
【解析】成本偏差的控制,分析是关键,纠偏是核心,所以 A 错误,通过成本考核,做到有奖有惩,赏罚分明,才能有效地调动每一位员工在各自施工岗位上努力完成目标成本的积极性,从而降低施工项目,成本提高企业的效益,所以 D 错误
99.【答案】ABE
【解析】(BCWP)>(BCWS),表示进度提前,即实际进度快于计划进度;(BCWP)>(ACWP),费用绩效指数(CPI)故大于 1,当费用绩效指数(CPI)>1 时,表示节支,即实际费用低于预算费用
100.【答案】BCDE
【解析】在质量管理过程中,通过抽样检查或检验试验所得到的 关于质量问题、偏差、缺陷、不合格等方面的统计数据,以及造成质量问题的原因分析统计数据,均可采用排列图方法进行状况描述,它具有直观、主次分明的特点。


