2022年一级建造师《建设工程经济》补考考前模拟卷(一)
一、单项选择题(共60题,每题1分。每题的备选项中,只有1个最符合题意)
1.某技术方案的期初投资为1200万元,建设期1年,运营期每年末获得净现金流入300万元。
若项目的计算期为6年,基准收益率为10%,则其财务净现值是()万元。
A.600
B.120.5
C.106.5
D.-166.15
2.偿债备付率是指项目在借款偿还期内各年( )的比值。
A.可用于还本付息的资金与当期应还本付息金额
B.可用于还款的利润与当期应还本付息金额
C.可用于还本付息的资金与全部应还本付息金额
D.可用于还款的利润与全部应还本付息金额
3.年名义利率为 12%,每季度复利计息一次,则半年有效利率为( )。
A.6.09%
B.6.18%
C.6.02%
D.6.00%
4.某技术方案估计年总成本费用8000万元,其中外购原材料、燃料及动力费为4500万元,折旧费为800万元,摊销费200万元,修理费为500万元,利息支出200万元。则该技术方案的年经营成本为( )万元。
A.6800
B.4500
C.5000
D.7000
5.产品的功能按其量化标准分类,可分为( ) 。
A.并列功能和上下位功能
B.总体功能和局部功能
C.必要功能和不必要功能
D.过剩功能和不足功能
6.某技术方案设计年产量为10万吨,已知单位产品的销售价格为600元,单位产品税金为125元,单位可变成本为220元,年固定成本为1000 万元,则达到盈亏平衡点时的生产能力利用
率为( ) 。
A.35.00%
B.39.22%
C.45.14%
D.52.65%
7.某生产性企业若对原工艺方案进行改造需要投资200万元,改造后年运行成本50万元;若采用全新工艺方案需要投资300万元,年运行成本40万元。则两方案相比较的增量投资收益率为( )。
A.5%
B.10%
C.15%
D.20%
8.关于设备技术寿命的说法,正确的是()。
A.完全未使用的设备技术寿命不可能等于零
B.设备的技术寿命一般短于自然寿命
C.科学技术进步越快,设备的技术寿命越长
D.设备的技术寿命主要由其有形磨损决定
9.杜邦财务分析体系的核心指标是( )。
A.总资产净利率
B.资产负债率
C.资本积累率
D.净资产收益率
10.某固定资产原价1000 万元,使用寿命10年,预计净残值率为5% ,则该固定资产的应计折
旧额为( )。
A.5万元
B.95万元
C.50万元
D.950万元
11.某企业2019年5月20日销售货物20万元(当月无其他销售),当年5月30日收到银行转账货款8万元,6月15日收到银行转账货款12万元。按照收付实现制,该企业5月份应计销售收入为()万元。
A.28
B.20
C.12
D.8
12.施工企业所需的某种材料,年度采购总量为2000吨,材料单价为6000元/吨,一次订货成本为4000元,每吨材料的年平均储备成本为200元,根据经济批量模型,该种材料的经济采购批量为()吨。
A.280.0
B.282.8
C.284.6
D.286.4
13.某进口设备的离岸价为40万美元,到岸价为44万美元,人民币与美元的汇率为8.3: 1, 进口关税率为7%,则该设备的进口关税为( ) 万元人民币。
A.3.08
B.5.88
C.23.24
D.25.56
14.实物量法编制施工图预算时,计算并复核工程量后紧接着进行的工作是()。
A.套用定额单价,计算人材机费用
B.套用定额,计算人材机消耗量
C.汇总人材机费用
D.计算管理费等其他各项费用
15.某垃圾处理项目获得了政府一定数额的财政补助,此项补贴收入不列入()。
A.投资现金流量表
B.资本金现金流量表
C.投资各方现金流量表
D.财务计划现金流量表
16.某技术方案的总投资 2000 万元,其中债务资金 500 万元,技术方案在正常年份年利润总额 400 万元,所得税 80 万元,年利息 50 万元。则该方案的资本金净利润率为()。
A.21.33%
B.16.00%
C.18.00%
D.13.50%
17.下列经济效果评价指标中,能反映技术方案偿债能力的指标有()。
A.利息备付率
B.财务内部收益率
C.总投资收益率
D.财务净现值
18.表示与上年相比,企业销售(营业)收入的增减变化情况,是评价企业成长状况和发展能力的重要指标是指()。
A.净资产收益率
B.资产负债率
C.资本积累率
D.营业增长率
19.某设备目前实际价值为 6000 元,预计残值为 2400 元,第一年设备运行成本为 400 元,以后每年增加 200 元,若不计利息,则该设备的经济寿命是( )年。
A.4
B.4.24
C.6
D.6.24
20.关于现金等价物的特点,以下说法正确的是()。
A.持有的期限较长
B.易于转换成现金,但转换的金额不能确定
C.价值变动风险较大
D.流动性强
21.某技术方案寿命期为 7 年,各年现金流量如下表所示,该技术方案静态回收期为()。

A.4.4
B.4.8
C.5.0
D.5.4
22.某建筑企业按 2/10、n/30 的信用条件购入 20 万元的建筑材料,如果该企业在 10 天内付款,则获得的折扣为( )。
A.0.2万元
B.0.4万元
C.0.6万元
D.2万元
23.按照费用构成要素划分,下列各项中不应归入建筑安装工程费用中的人工费的一项是()。
A.生产工人停工学习期间的工资
B.生产工人劳动保护费
C.节约奖和劳动竞赛奖
D.计时工资或计件工资
24.设备在使用过程中,磨损的程度与使用强度和使用时间长短有关的是()。
A.第一种有形磨损
B.第一种无形磨损
C.第二种有形磨损
D.第二种无形磨损
25.某施工企业2021年度营业收入为1000万元,营业成本和营业税金及附加为300万元,管理费用200万元,财务费用为100万元。其他业务收入为200万元,投资收益150万元,营业外收入为100万元,营业外支出为80万元,所得税为100万元,则企业当年营业利润为()万元。
A.550
B.570
C.750
D.770
26.某企业有甲、乙、丙、丁四个现金持有方案,各方案的现金持有量依次是60000元、70000元、84000元、120000元。四个方案的机会成本均为现金持有量的10%,管理成本均为24000元,短缺成本依次是8100元、3000元、2500元和0元。若采用成本分析模式进行现金持有量决策,该企业应采用( ) 方案。
A.甲
B.乙
C.丙
D.丁
27.对于一般工业与民用建筑工程,在设计概算的编制过程中,如果不编制总概算,工程建设其他费用概算应该列入( ) 概算。
A.单位工程
B.建筑单位工程
C.单项工程
D.设备及安装单位工程
28.在编制材料消耗定额时周转性材料消耗与下列( ) 无关。
A.一次使用量
B.第二次使用时需要补充量
C.第三次使用时需要补充量
D.周转使用次数
29.招标人编制招标控制价与投标人报价的共同基础是( )。
A.工料单价
B.综合单价
C.按拟采用施工方案计算的工程量
D.工程量清单标明的工程量
30.国际工程投标报价工作在投标者通过资格预审并获得招标文件后,首先要进行的工作是()。
A.进行各项调查研究
B.组织投标报价班子
C.研究招标文件
D.工程量复核
31.在工程施工过程中,由于水源、电源中断引起的停工时间属于( ) 。
A.非施工本身造成的停工时间,定额中则应给予合理的考虑
B.施工本身造成的停工时间,定额中则不应予以考虑
C.多余工作的工时损失,定额中则不应予以考虑
D.劳动组织不合理引起的,属于损失时间,不能计入定额时间
32.下列关于竣工结算的说法,正确的是( )
A.竣工结算是指承包人提交竣工验收报告时,对所完成的项目进行的全面工程结算
B.工程竣工结算应由承包人编制,并应由发包人核对
C.暂列金额应减去合同价款调整金额计算,如有余额归承包人所有
D.竣工结算可采用全面审查、抽样审查、重点审查、分析对比审查和经验审查等方法
33.合同履行中不可以进行工程变更的情形是( )。
A.取消合同中的某项工作,转由发包人实施
B.为完成工程追加的额外工作
C.改变合同中某项工作的质量标准
D.改变合同中某项工作的施工时间
34.某企业第 1 年年初和第 1 年年末分别向银行借款 50 万元,年利率为 10%,复利计息,第3-6 年年末等额本息偿还全部借款。则每年年末应偿还金额为()万元。
A.33.12
B.36.44
C.40.08
D.46.44
35.某技术方案具有常规现金流量,当基准收益率为12%时,财务净现值为-67万元;当基准收益率为8%时,财务净现值为242.76万元;当基准收益率为6%时,财务净现值为341.76元。则该技术方案的内部收益率最可能的范围为( )。
A.小于6%
B.大于6%,小于8%
C.大于8%,小于12%
D.大于12%
36.以扩大的分部分项工程为对象编制的定额是()。
A.施工定额
B.材料消耗定额
C.预算定额
D.概算定额
37.某租赁公司将价格为68万元的设备出租给施工单位、租期5年,约定每年年初等额支付租金。若折现率为12%,则年租金应为( )万元。
A.13.40
B.15.23
C.16.84
D.18.86
38.某项目建设期 2 年,建设期内第 1 年贷款 700 万元,第 2 年贷款 600 万元,年内均衡发放,且只计息不还款,年利率为 8%。则编制该项目的投资估算时,建设期利息总和为()万元。
A.104.00
B.110.24
C.114.94
D.155.84
39.根据《建设工程工程量清单计价规范》(GB50500-2013),因不可抗力事件导致的损害及其费用增加,应由承包人承担的是()。
A.工程本身的损害
B.发包人现场的人员伤亡
C.承包人购买的材料
D.承包人施工设备的损坏
40.根据《建设工程工程量清单计价规范》(GB50500—2013),工程发包时,招标人要求压缩的工期天数超过定额工期的( )时,应当在招标文件中明示增加赶工费用。
A.5%
B.10%
C.15%
D.20%
41.下列关于企业财务评价指标的表述中,错误的是()。
A.反映企业短期借债能力的指标有流动比率和速动比率
B.一定时期总收入与总资产的比例,叫做总资产周转率
C.净资产收益率是是反映企业盈利能力的核心指标,它反映了企业资产利用的综合效果
D.营业增长率是评价企业成长状况和发展能力的重要指标,而资本积累率是评价企业发展潜力的重要指标
42.根据《建设工程工程量清单计价规范》(GB50500-2013),在合同履行期间,由于招标工程量清单缺项,新增了分部分项工程量清单项目,关于其合同价款确定的说法,正确的是( )。
A.新增清单项目的综合单价应由监理工程师提出
B.新增清单项目的综合单价应由承包人提出,但相关措施项目费不能再做调整
C.新增清单项目应按额外工作处理,承包人可选择做或者不做
D.新增清单项目导致新增措施项目的,承包人应将新增措施项目实施方案提交发包人批准
43.若初步设计有设备清单但是不完备,则可用于编制设备安装工程概算且精确性最高的方法是()。
A.预算单价法
B.扩大单价法
C.概算指标法
D.类似工程预算法
44.某施工材料采购原价为 210 元/吨,运杂费为 50 元/吨,运输损耗率为 1%,采购保管费率为 3%,则该材料的单价为()元/吨。
A.274.28
B.277.66
C.239.20
D.270.48
45.关于分部分项工程量清单编制的说法,正确的是()。
A.施工工程量大于按计算规则计算出的工程量的部分,由投标人在综合单价中考虑
B.在分项工程量清单项目“工程内容”中包含的工作内容必须进行描述
C.计价规范中就某一清单项目给出两个及以上计量单位时应选择最方便计算的单位
D.同一标段工程量清单中含有多个项目特征相同的单位工程时可采用相同的项目编码
46.在一定范围内,产品生产成本与使用及维护成本的关系是()。
A.随着产品功能水平的提高,产品的生产成本增加,使用及维护成本降低
B.随着产品功能水平的提高,产品的生产成本减少,使用及维护成本降低
C.随着产品功能水平的降低,产品的生产成本增加,使用及维护成本提高
D.随着产品功能水平的降低,产品的生产成本减少,使用及维护成本降低
47.某工程由六个分部工程组成,采用价值工程分析得到各分部工程功能指数和成本指数见下表,则首先应进行价值工程改进的是()。
A.分部二
B.分部四
C.分部五
D.分部六
48.建筑业企业销售的商品不包括()。
A.周转材料
B.固定资产
C.商品混凝土
D.低值易耗品
49.某跨年度建设项目的合同总造价为 20000 万元,预计合同总成本为 15000 万元。2014 年资产负债表日累计已确认的收入为 8000 万元,2015 年资产负债表日工程合同完工进度为的80%。则 2015 年应确认的合同收入为()万元。
A.16000
B.12000
C.4000
D.8000
50.下列各项中,不属于引进技术和进口设备其他费的是()。
A.出国人员费用
B.技术引进费
C.劳动安全卫生评价费
D.担保费
51.在竣工验收前,施工企业对已经安装完成的设备采取必要的保护措施所发生的费用应计入()。
A.措施项目费
B.其他项目费
C.安全文明施工费
D.企业管理费
52.某国产标准设备是由成套设备公司供应的,则设备原价一般按()确定。
A.不带备件的出厂价
B.带有备件的出厂价
C.订货合同价
D.成本计算估价
53.某建设项目费用组成见下表:已知项目建设前期年限为 1 年,建设期为 3 年,各年投资计划值为 30%,50%,20%,年均投资价格上涨率 5%,基本预备费率 8%,其他因素不考虑。则该项目建设期间的价差预备费为()万元。
A.1123.96
B.1748.43
C.2009.70
D.2349.60
54.某建设工程项目,钢材的采购数量为 100 吨,在项目建设过程中钢材的净用量为 80 吨,损耗率为 1%,则该项目钢材的总消耗量为()吨。
A.80
B.80.8
C.100
D.101
55.某采用工程量清单招标的工程,公布的招标控制价为 6000 万元,中标人的投标报价为 5200 万元,经调整后的中标价为 5100 万元,所有合格投标人的平均报价为 5450 万元,则中标人报价浮动率为()。
A.9.17%
B.13.33%
C.15%
D.85%
56.某工程约定当价格波动超过—定范围时根据价格调整公式调整合同价。已知不调整部分占合同总价的 15%,可以调整部分有人工费、运输费、钢筋价格、混凝土价格,其占合同总价的比例分别为 20%、10%、25%和 30%。基准日期的价格指数均为 100,结算时采用的价格指数分别为 110、105、106、108。若结算当月完成的合同额 1000 万元,则调整后的合同金额为()万元。
A.914
B.1059
C.1064
D.1137
57.某中心医院急救中心实验楼土建单位工程概算的内容如下:项目人、料、机费用总和为 4000 万元(其中定额人工费为 800 万元),企业管理费取定额人工费的 25%,利润取定额人工费的 42%,规费取定额人工费的 38%,税率为 9%。则该项目概算造价总计为()万元。
A.4640.0
B.4840.0
C.5275.60
D.5872.4
58.用定额单价法编制施工图预算时,计算人、料、机费用,若分项工程不能直接套用定额、不能换算和调整时,应采取的处理方式为()。
A.直接套用定额单价
B.按实际使用材料价格换算定额单价
C.调量不换价
D.编制补充定额单价
59.工程量清单作为招标文件的组成部分,其完整性和准确性应由()负责。
A.监理人
B.招标人
C.招投标管理部门
D.投标人
60.某土方工程,招标工程量清单中挖土方工程数量为2500m3。投标人依据地质资料和施工方案计算的实际挖土方量为3600m3,挖土方的人、料、机费为65000元;人工运土的人、料、机费用25000元,机械运土的人、料、机费用58000元,企业管理费取人、料、机总费用的14%,利润率取人、料、机总费用与管理费和的8%,不考虑其他因素,则投标人挖土方的投标综合单价为() 元。
A.60.19
B.50.62
C.50.16
D.72.88
二、多项选择题(共20题,每题2分。每题的备选项中,有2个或者2个以上符合题意,至少有一个错项。错选,本题不得分;少选,所选的每个选项得0.5分)
61.影响资金等值计算的要素包括( )。
A.资金流的方向
B.金额的多少
C.资金的供求情况
D.资金发生的时间长短
E.利率的大小
62.选择需要分析的不确定性因素时,主要考虑的原则有( )。
A.这些因素在其可能变动范围内对经济评价指标的影响较大
B.这些因素在其可能变动范围内对经济评价指标的影响较小
C.对在确定性经济分析中采用该因素的数据的准确性把握不大
D.对在确定性经济分析中采用该因素的数据的准确性把握较大
E.应对所有的不确定性因素进行敏感性分析
63.关于变更权,下列说法正确的有()。
A.发包人和监理人都能够提出变更
B.变更指示均通过监理人发出,但应征得发包人同意
C.未经许可,承包人不得擅自对工程的主体部分(非主体部分除外)进行变更
D.涉及设计变更的,应由设计人提供变更后的图纸和说明
E.变更超过原设计标准或批准的建设规模时,设计人应及时办理规划、设计变更等审批手续
64.按照企业财务制度的规定,下列支出应计入工程成本的是()。
A.为购置工程材料发生的支出
B.处置施工机械设备发生的净损失
C.施工机械安装、拆卸和进出场费
D.企业下属施工单位为组织和管理施工发生的办公费
E.债务重组损失
65.下列资金成本中,属于资金占用费的有()。
A.借款手续费
B.债券利息
C.贷款利息
D.发行债券支付的印刷费
E.筹资过程中支付的广告费
66.关于工程量计量的原则,下列说法不正确的是( )。
A.按合同中约定的计算规则、图纸及变更指示进行计量
B.按承包人实际完成的工程量进行计量
C.对于不符合合同文件要求的工程,承包人超出施工图纸范围或因承包人原因造成返工的工程量,不予计量
D.若发现工程量清单中出现漏项、工程量计算偏差,以及工程量变更引起工程量的增减变化,应据实调整,正确计量
E.工程量的计量必须按月进行
67.根据 《建设工程工程量清单计价规范》( GB50500- -2013),关于招标控制价的说法, 正确的有()。
A.招标控制价必须由招标人编制
B.国有资金投资项目的招标控制价超过批准的概算时,招标人应报其报原概算审批部门审核
C.国有或非国有资金投资的建设工程招标,招标人必须编制招标控制价
D.招标控制价应在招标文件中公布,在招标过程中不应上调,但可适当下浮
E.投标人的投标报价高于招标控制价时,其投标应按废标处理
68.下列各项中,属于建设管理费的有()。
A.研究试验费
B.建设单位管理费
C.工程监理费
D.专项评价费
E.专利及专有技术使用费
69.确定基准收益率应考虑的因素有()。
A.资金成本
B.内部收益率
C.机会成本
D.投资风险
E.通货膨胀
70.编制预算定额人工消费指标时,下列人工消耗量属于人工幅度差用工的有()。
A.施工过程中水电维修用工
B.隐蔽工程验收影响的操作时间
C.现场材料水平搬运用工
D.现场材料加工用工
E.现场筛砂子增加的用工量
71.关于设备寿命的说法,正确的有()。
A.设备的经济寿命是从经济观点确定的设备更新的最佳时期
B.设备的使用年限越长,设备的经济性越好
C.设备的合理维修和保养可以避免设备的无形磨损
D.设备的自然寿命是由设备的综合磨损决定的
E.设备的技术寿命主要是由设备的无形磨损决定的
72.对建设单位而言,施工图预算是()的依据。
A.确定投标报价
B.确定招标控制价
C.安排建设资金计划
D.进行“两算”对比
E.拨付工程进度款
73.建造施工合同收入包括( )。
A.初始收入
B.变更收入
C.索赔收入
D.奖励收入
E.销售收入
74.财务分析方法有( )。
A.因素分析法
B.比率分析法
C.趋势分析法
D.垂直分析法
E.替代分析法
75.筹资活动产生的现金流量有()。
A.吸收投资收到的现金
B.分配股利的现金
C.处置固定资产回收的现金净额
D.收回投资所收到的现金
E.取得投资收益所收到的现金
76.设计概算审查的方法包括()。
A.对比分析法
B.筛选审查法
C.查询核实法
D.重点审查法
E.联合会审法
77.下列关于安全文明施工费的说法,正确的有()。
A.发包人应在开工后28天内预付不低于当年施工进度计划的安全文明施工费总额的50%
B.承包人对安全文明施工费应专款专用,不得挪作他用
C.安全文明施工费可以自主报价
D.发包人没有按时支付安全文明施工费的,承包人可以直接停工
E.安全文明施工费有三个计算基数
78.适宜用参数法计价的措施项目费有()。
A.二次搬运费
B.混凝土模板费
C.安全文明施工费
D.夜间施工增加费
E.垂直运输费
79.下列费用必须按照省、自治区、直辖市或行业建设主管部门发布的标准计算,不得作为竞争性费用的有()。
A.规费
B.税金
C.安全文明施工费
D.建设管理费
E.企业管理费
80.关于资产负债率的说法,正确的有()。
A.资产负债率企业总资产与总负债之比
B.资产负债率是反映企业长期偿债能力的指标
C.资产负债率越高说明企业偿债能力越强
D.资产负债率能反映企业利用债权人提供资金进行经营活动的能力
E.资产负债率能反映企业经营风险的程度
2022年一级建造师《建设工程经济》考前模拟卷一(补考)参考答案及解析
一、单项选择题
1.【答案】D
【解析】本题考查的是财务净现值的概念。结合题意,该方案的运营期应当为5年,即第2年至第6年;根据财务净现值的含义及其计算公式,该方案的财务净现值(FNPV)=-1200+300× (P/A, 10%,5) × (P/F, 10%,1) =-166. 15 (万元)。
2.【答案】A
【解析】偿债备付率是从偿债资金来源的充裕性角度反映偿付债务本息的能力,是指在技术方案借款偿还期内,各年可用于还本付息的资金与当期应还本付息金额( PD)的比值。
3.【答案】A
【解析】半年有效利率=( 1+r/m )n-1=( 1+12%/4 )2- 1=6.09%。
4.【答案】A
【解析】经营成本=总成本费用-折旧费-摊销费-利息支出或经营成本=外购原材料、燃料及动力费+工资及福利费+修理费+其他费用
8000-800-200-200=6800
5.【答案】D
【解析】按功能的量化标准分类,产品的功能可分为过剩功能与不足功能。
6.【答案】B
【解析】先求出盈亏平衡产量,BEP (Q) =CF/(p- Cu-Tu) =1000/ ( 600-125-220) =3.922万吨。则用生产能力利用率表示的盈亏平衡点为:3.922/10=39.22%。
7.【答案】B
【解析】增量投资收益率= (C1-C2)/(I2-I1 )= ( 50-40)/ ( 300-200) =10%。
8.【答案】B
【解析】设备的技术寿命就是指设备从投入使用到因技术落后而被淘汰所延续的时间,故又称为有效寿命。技术寿命主要是由设备的无形磨损所决定的,它一般比自然寿命要短,而且科学技术进步越快,技术寿命越短。设备的技术寿命主要由其无形磨损所决定的。
9.【答案】D
【解析】杜邦财务分析体系是以净资产收益率为核心指标,以总资产净利率和权益乘数为两个方面,重点揭示企业获利能力及权益乘数对净资产收益率的影响,以及各相关指标之间的相互作用关系。
10.【答案】D
【解析】应计折旧额是固定资产的原价扣除期预计净残值后的金额。1000×( 1-5% ) =950 万元。
11.【答案】D
【解析】收付实现制是以相关货币收支时间为基础的会计,是以收到或支付的现金作为确认收入和费用等的依据。所以在收付实现制下,只有5月30日收到的8万元计入5月份的销售收入; 6月15日收到的12万元计入6月份的销售收入。
12.【答案】B
【解析】
13.【答案】D
【解析】 进口关税= 到岸价×人民币外汇牌价×进口关税率=44×8.3×7%=25.56。
14.【答案】B
【解析】
15.【答案】C
【解析】补贴收入与营业收入一样,应列入技术方案投资现金流量表、资本金现金流量表和财务计划现金流量表。
16.【答案】A
【解析】资本金净利润率=净利润/技术方案资本金=(正常年份年利润总额-所得税)/技术方案资本金=(400-80)/(2000-500)=21.33%。
17.【答案】A
【解析】A 为偿债能力,BCD 为盈利能力指标。
18.【答案】D
【解析】营业增长率是指企业本期营业收入增长额同上期营业收入总额的比率,营业增长率表示与上年相比,企业销售(营业)收入的增减变化情况,是评价企业成长状况和发展能力的重要指标。
19.【答案】C

【解析】设备的经济寿命= 2 (6000 2400)/200 6年 。
20.【答案】D
【解析】作为现金等价物的短期投资必须同时满足以下四个条件:1.期限短;2.流动性强;3.易于转换为已知金额的现金;4.价值变动风险小。所以选 D。
21.【答案】B
【解析】
某技术方案财务现金流量表单位:万元
年末
1
2
3
4
5
6
7
现金流入
900
1200
1200
1200
1200
现金流出
800
700
500
600
600
600
600
净现金流
-800
-700
400
600
600
600
600
累计净现金流
-800
-1500
-1100
-500
100
700
1300
Pt=4+|-500|/600=4.8。
22.【答案】B
【解析】2/10的意思是,在10天内付款,可以享受2%的优惠,即20×0.02=0.4万元。
23.【答案】B
【解析】B 为企业管理费。
24.【答案】A
【解析】第一种有形磨损是用坏的,第二种有形磨损是放坏的。
25.【答案】A
【解析】营业利润=营业收入-营业成本(或营业费用)税金及附加-销售费用-管理费用-财务费用-资产减值损失+公允价值变动收益(损失为负)+投资收益(损失为负);营业利润= 1000-300-200-100+150=550。
26.【答案】B
【解析】三项成本之和最小的现金痔有量,就是最佳现金持有量,因此选B。
甲: 60000*0.1+24000+8100=38100
乙: 70000*0.1+24000+3000=34000
丙: 84000*0.1+24000+2500=34900
丁: 120000*0.1+24000+0=36000
27.【答案】C
【解析】单项工程综合概算是以其所包含的建筑工程概算表和设备及安装工程概算表为基础汇总编制的。当建设工程项目只有一个单项工程时,单项工程综合概算(实为总概算)还应包括工程建设其他费用概算。
28.【答案】C
【解析】周转性材料消耗一般与四个因素有关系: (1 )第一次制造时的材料消耗; (2) 每周转使用-一次材料的损耗; ( 3 )周转使用次数;(4)周转材料的最终回收。
29.【答案】D
【解析】工程量清单为投标人的投标竞争提供了一个平等和共同的基础。
30.【答案】B
【解析】通过资格预审并获得招标文件之后,
1.组织投标报价班子;2.研究招标文件;3.进行各项调查研究;4.参加标前会议和现场勘察;
5.工程量复核;6.生产要素与分包工程询价。
31.【答案】A
【解析】停工时间是工作班内停止工作造成的工时损失。停工时间按其性质可分为施工本身造成的停工时间和非施工本身造成的停工时间两种。施工本身造成的停工时间,是由于施工组织不善、材料供应不及时、工作面准备工作做得不好、工作地点组织不良等情况引起的停工时间。非施工本身造成的停工时间,是由于水源、电源中断引起的停工时间。前一种情况在拟定定额时不应该计算,后一种情况定额中则应给予合理的考虑。
32.【答案】B
【解析】选项A错误,竣工结算是指建设工程项目完工并经验收合格后,对所完成的项目进行的全面工程结算。选项C错误,暂列金额应减去合同价款调整金额计算,如有余额归发包人所有。选项D错误,除非已有约定,竣工结算应采用全面审查的方法,严禁采用抽样审查、重点审查、分析对比审查和经验审查的方法,避免审查疏漏现象发生。
33.【答案】A
【解析】合同变更的范围一般包括以下情形:
(1)增加或减少合同中任何工作,或追加额外的工作; (2 )取消合同中任何工作,但转由他人实施的工作除外; (3)改变合同中任何工作的质量标准或其他特性; ( 4 )改变工程的基线、标高、位置和尺寸; (5 )改变工程的时间安排或实施顺序。
34.【答案】B
【解析】50×(1+10%)+50×(1+10%)2=A[(1+10%)4-1]/[(1+10%)4×10%],求得 A=36.44。35.【答案】C
【解析】本题的考核点是财务内部收益率(FIRR)的概念、财务净现值与折现率之间的递减变化关系。对常规技术方案,财务内部收益率其实质就是使技术方案在计算期内各年净现金流量的现值累计等于零时的折现率。本题属于概念判断题,考核的不是财务内部收益率的计算方法。FNPV ( 12% ) =-67万元,FNPV ( 8% ) =242.76万元,则FNPV=0时的折现率应在12%和8%之间。
36.【答案】D
【解析】概算定额是以扩大的分部分项工程为对象编制的定额。概算定额是编制扩大初步设计概算、确定建设项目投资额的依据。概算定额一般是在预算定额的基础上综合扩大而成的,每一综合分项概算定额都包含了数项预算定额。
37.【答案】 C
【解析】本题考查的是设备经营租赁与购置方案的经济比选方法。此题考核的实质是基于现值求未来的等额资金,但与资金时间价值计算基本公式(1012-12 的逆运算)不同的是,其.等额租金(资金)年初支付,并应该减去1年(计息周期)。

38.【答案】B
【解析】第一年的利息=700/2×8%=28 万元;第二年的利息=(700+28+600/2)×8%=82.24万元,建设期利息总和=28+82.24=110.24 万元。
39.【答案】D
【解析】承包人施工设备损坏由承包人承担。
40.【答案】D
【解析】本题的考核点是工程价款调整中的提前竣工事项的相关规定。工程发包时,招标人应当依据相关的工期定额合理计算工期,压缩的工期天数不得超过定额工期的 20%,将其量化。超过者,应在招标文件中明示增加赶工费用。
41.【答案】B
【解析】一定时期主营业务收入与总资产的比例,叫做总资产周转率。
42.【答案】D
【解析】《建设工程工程量清单计价规范》GB50500—2013 对这部分的规定如下:(1)合同履行期间,由于招标工程量清单中缺项,新增分部分项工程量清单项目的,应按照规范中工程变更相关条款确定单价,并调整合同价款。(2)新增分部分项工程量清单项目后,引起措施项目发生变化的,应按照规范中工程变更相关规定,在承包人提交的实施方案被发包人批准后调整合同价款。(3)由于招标工程量清单中措施项目缺项,承包人应将新增措施项目实施方案提交发包人批准后,按照规范相关规定调整合同价款。
43.【答案】B
【解析】当初步设计的设备清单不完备,或仅有成套设备的重量时,可采用主体设备、成套设备或工艺线的综合扩大安装单价编制概算。
44.【答案】D
【解析】材料单价=[(材料原价+运杂费)×[1+运输损耗率(%)]×[1+采购保管费率(%)]=(210+50)×(1+1%)×(1+3%)=270.48。
45.【答案】A
【解析】分部分项工程项目清单必须根据相关工程现行国家计量规范规定的项目编码、项目名称、项目特征、计量单位和工程量计算规则进行编制。“工程内容”不是必须描述的。B错误;当计量单位有两个及以上时,应根据所编工程量清单项目的特征要求,选择最适宜表述该项目特征并方便计量的单位,C错误。项目编码应根据拟建工程的工程量清单项目名称设置,同一招标工程编码不得有重码,D错误。
46.【答案】A
【解析】在一定范围内,产品的生产成本与使用及维护成本存在此消彼长的关系。随着产品功能水平的提高,产品的生产成本增加,使用及维护成本降低;反之,产品功能水平降低,其生产成本降低但是使用及维护成本增加。故选项 A 正确。
47.【答案】B
【解析】确定的改进对象是 Fi/Ci 值低的功能,具体见下表。
功能分析价值系数最低的是分部四。
48.【答案】B
【解析】建筑业企业销售商品主要包括产品销售和材料销售两大类。产品销售主要有自行加工的碎石、商品混凝土、各种门窗制品等;材料销售主要有原材料、低值易耗品、周转材料、包装物等。故 B 正确。
49.【答案】D
【解析】当期不能完成的建造(施工)合同,在资产负债表日,应当按照合同总收入乘以完工进度扣除以前会计期间累计已确认收入后的金额,确认为当期合同收入。即:当期确认的合同收入=合同总收入×完工进度一以前会计期间累计已确认的收入。2015 年应确认的合同收入=20000×80%-8000=8000 万元。
50.【答案】C
【解析】引进技术和进口设备其他费属于与项目建设有关的其他费用,该费用包括出国人员费用、国外工程技术人员来华费用、技术引进费、分期或延期付款利息、担保费以及进口设备检验费用。
51.【答案】A
【解析】已完工程及设备保护费:是指竣工验收前,对已完工程及设备采取的必要保护措施所发生的费用。而已完工程及设备保护费属于措施项目费。故选项 A 正确。
52.【答案】C
【解析】国产标准设备原价一般指的是设备制造厂的交货价,即出厂价。如设备由设备成套公司供应,则以订货合同价为设备原价。有的设备有两种出厂价,即带有备件的出厂价和不带有备件的出厂价。在计算设备原价时,一般按带有备件的出厂价计算。
53.【答案】C
【解析】价差预备费—般按下式计算:
基本预备费=(6000+3000+5000+600+100+200)×8%=1192 万元静态投资=6000+3000+5000+600+100+200+1192=16092 万元建设期第—年完成投资=16092×30%=4827.6 万元
第一年价差预备费为: PF1= I1[(1 f )(1 f )0.5 1] 366.6万元第二年完成投资= 16092×50% = 8046 万元
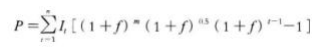
第二年价差预备费为: PF2= I2 [(1 f )(1 f )0.5 (1 f ) 1] 1043.8万元第三年完成投资= 16092×20% = 3218.4 万元
第三年价差预备费为: PF3= I3[(1 f )(1 f )0.5 (1 f )2 1] 599.3万元
所以,建设期的价差预备费为:
P= 366.6+ 1043.8 + 599.3 = 2009.7 万元
54.【答案】B
【解析】总消耗量=净用量×(1+损耗率)=80×(1+1%)=80.8。故 B 为正确选项。
55.【答案】C
【解析】招标工程的承包人报价浮动率可按下列公式计算:承包人报价浮动率 L=(1-中标价/招标控制价)×100%=(1-5100/6000)×100%=15%。
56.【答案】C
【解析】因人工、材料和设备等价格波动影响合同价格时,根据专用合同条款中约定的数据,按以下公式计算差额并调整合同价格:
57.【答案】C
【解析】企业管理费=800×25%=200 万元;利润=800×42%=336 万元;
规费=800×38%=304 万元;概算造价总计=(4000+200+336+304)×(1+9%)=5275.60 万元;
故 C 项为正确选项。
58.【答案】D
【解析】计算人、料、机费用时需注意以下几项内容:
(1)分项工程的名称、规格、计量单位与定额单价中所列内容完全一致时,可以直接套用
定额单价;
(2)分项工程的主要材料品种与定额单价中规定材料不一致时,不可以直接套用定额单价,
需要按实际使用材料价格换算定额单价;
(3)分项工程施工工艺条件与定额单价不一致而造成人工、机械的数量增减时,一般调量
不换价;
(4)分项工程不能直接套用定额、不能换算和调整时,应编制补充定额单价。59.【答案】B
【解析】招标工程量清单必须作为招标文件的组成部分,由招标人提供,并对其准确性和完
整性负责。故选 B。
60.【答案】D
【解析】综合单价计算
①人、料、机费用合计: 65000+25000+58000= 148000元
②管理费:人、料、机总费用× 14%=148000× 14%=20720元
③利润: (人、料、机总费用十管理费) × 8%=( 148000+20720) × 8%=13497.6元
④总计: 148000+20720+13497.6=182217.6 元
⑤综合单价:按招标人提供的土方挖方总量折算为工程量清单综合单价: 182217.6/ 2500=72.88元。
二、多项选择题
61.【答案】BDE
【解析】影响资金等值的因素有三个:资金数额的多少、资金发生的时间长短、利率( 或折
现率)的大小。故选BDE。
62.【答案】AC
【解析】在选择需要分析的不确定性因素时主要考虑以下两条原则:第一,预计这些因素在其能变动的范围内对经济效果评价指标的影响较大;第二,对在确定性经济效果分析中采
用该因素的数据的准确性把握不大。选定不确定性因素时应当把这两条原则结合起来进行。
63.【答案】ABD
【解析】发包人和监理人均可以提出变更。变更指示均通过监理人发出,监理人发出变更指.示前应征得发包人同意。承包人收到经发包人签认的变更指示后,方可实施变更。未经许可,承包人不得擅自对工程的任何部分进行变更。涉及设计变更的,应由设计人提供变更后的图纸和说明。如变更超过原设计标准或批准的建设规模时,发包人应及时办理规划、设计变更等审批手续。
64.【答案】ACD
【解析】工程成本包括从建造合同签订开始至合同完成止所发生的、与执行合同有关的直接费用和间接费用。
直接费用: (1)耗用的材料费用; (2) 耗用的人工费用; (3) 耗用的机械使用费; (4) 其他直接费用。
间接费用是企业下属的施工单位或生产单位为组织和管理施工生产活动所发生的费用。选项B处置施工机械设备发生的净损失、选项E债务重组损失属于营业外支出,不计入工程成本。
65.【答案】 BC
【解析】借款手续费、发行债券支付的印刷费及筹资过程中支付的广告费均属于筹资费。66.【答案】 BE
【解析】工程计量的原则: 1.工程量计量按照合同约定的工程量计算规则、图纸及变更指示等进行计量。工程量计算规则应以相关的国家标准、行业标准等为依据.由合同当事人在专用合同条款中约定。2.对于不符合合同文件要求的工程,承包人超出施工图纸范围或因承包人原因造成返工的工程量,不予计量。3.若发现工程量清单中出现漏项、工程量计算偏差,以及工程变更引起工程量的增减变化,应据实调整,正确计量。
67.【答案】BE
【解析】招标控制价应由具有编制能力的招标人或受其委托具有相应资质的工程造价咨询人编制和复核。A错误;国有资金投资的建设工程招标,招标人必须编制招标控制价。C错误;招标控制价应在招标文件中公布,不应上调或下浮,招标人应将招标控制价及有关资料报送工程所在地工程造价管理机构备查。D错误。
68.【答案】BC
【解析】建设管理费是指为组织完成工程项目建设在建设期内发生的各类管理性质费用。包括建设单位管理费、代建管理费、工程监理费、监造费、招标投标费、设计评审费、特殊项目定额研究及测定费、其他咨询费、印花税等。
69.【答案】ACDE
【解析】确定基准收益率的基础是资金成本和机会成本,而投资风险和通货膨胀则是必须考虑的影响因素。
70.【答案】AB
【解析】人工幅度差用工:①各种专业工种之间的工序搭接及土建工程与安装工程的交叉、配合中不可避免的停歇时间;②施工机械在场内单位工程之间变换位置及在施工过程中移动临时水电线路引起的临时停水、停电所发生的不可避免的间歇时间;③施工过程中水电维修用工;④隐蔽工程验收等工程质量检查影响的操作时间;⑤现场内单位工程之间操作地点转移影响的操作时间;⑥施工过程中工种之间交叉作业造成的不可避免的剔凿、修复、清理等用工;⑦施工过程中不可避免的直接少量零星用工。
71.【答案】AE
【解析】经济寿命是指设备从投入使用开始,到继续使用在经济上不合理而被更新所经历的时间。设备的经济寿命就是从经济观点(即成本观点或收益观点)确定的设备更新的最佳时刻;随着设备使用年限的增加,一方面需要更多的维修费维持原有功能;另一方面设备的操作成本及原材料、能源耗费也会增加;所以选项B错误,同时设备的无形磨损是无法避免的,所以选项C错误。设备的自然寿命,又称物质寿命。它是指设备从投入使用开始,直到因物质磨损严重而不能继续使用、报废为止所经历的全部时间。它主要是由设备的有形磨损所决定的。所以D项错误。
72.【答案】BCE
【解析】施工图预算对建设单位的作用:①施工图预算是施工图设计阶段确定建设工程项目造价的依据,是设计文件的组成部分。②施工图预算是建设单位在施工期间安排建设资金计划和使用建设资金的依据。③施工图预算是确定招标控制价的依据。④施工图预算可以作为确定合同价款、拨付工程进度款及办理工程结算的基础。
73.【答案】ABCD
【解析】建造合同的收入包括两部分内容:合同规定的初始收入和因合同变更、索赔、奖励等形成的收入。
74.【答案】 ABC
【解析】财务报表分析的方法,主要包括趋势分析法、比率分析法和因素分析法。
75.【答案】AB
【解析】CDE属于投资活动产生的现金流量。
76.【答案】ACE
【解析】设计概算审查的方法:
①对比分析法:指通过建设规模、标准与立项批文对比,工程数量与设计图纸对比,综合范围、内容与编制方法各种取费信息等对比,技术经济指标与同类工程对比。通过对比分析,容易发现设计概算存在的主要问题和偏差。
②查询核实法:是对一些关键设备和设施、重要装置、引进工程图纸不全、难以核算的较大投资进行多方查询核对,逐项落实的方法。
③联合会审法:分头审查,集中讨论。
77.【答案】BE
【解析】安全文明施工费的相关知识。发包人应在工程开工后的28天内预付不低于安全文明施工费总额的50%,其余部分应按照提前安排的原则进行分解,并应与进度款同期支付。发包人没有按时支付安全文明施工费的,承包人可催告发包人支付;发包人在付款期满后的7天内仍未支付的,若发生安全事故,发包人应承担相应责任。承包人对安全文明施工费应专款专用,在财务账目中单独列项备查,不得挪作他用。安全文明施工费=计算基数×安全文明施工费费率。
计算基数应为定额基价(定额分部分项工程费+定额中可以计量的措施项目费)、定额人工费或(定额人工费+定额机械费)。
78.【答案】ACD
【解析】参数法计价是指按一定的基数乘系数的方法或自定义公式进行计算。这种方法简单明了,但最大的难点是公式的科学性、准确性难以把握。这种方法主要适用于施工过程中必须发生,但在投标时很难具体分项预测,又无法单独列出项目内容的措施项目。如夜间施工费、二次搬运费、冬雨期施工的计价均可以采用该方法。
79.【答案】ABC
【解析】不得作为竞争性费用(不可竞争费)只有规费,税金和安全文明施工费三项。
80.【答案】BDE
【解析】资产负债率是企业总负债与总资产之比,它既能反映企业利用债权人提供资金进行经营活动的能力,也能反映企业经营风险的程度,是综合反映企业长期偿债能力的重要指标。从企业债权人角度看,资产负债率越低,说明企业偿债能力越强,债权人的权益就越有保障。从企业所有者和经营者角度看,通常希望该指标高些,这有利于利用财务杠杆增加所有者获利能力。但资产负债率过高,企业财务风险也会增大。因此,一般地说,该指标为50%比较合适,有利于风险与收益的平衡。


